近日,化学化工学院师生在化工领域顶级期刊AIChE Journal发表最新研究论文,论文题为Deep extractive denitrogenation with Cu-based ionic liquids and mechanistic insights。乐鱼官方体育网站为该论文的第一完成单位,朱文帅教授和吴沛文副教授为论文共同通讯作者。

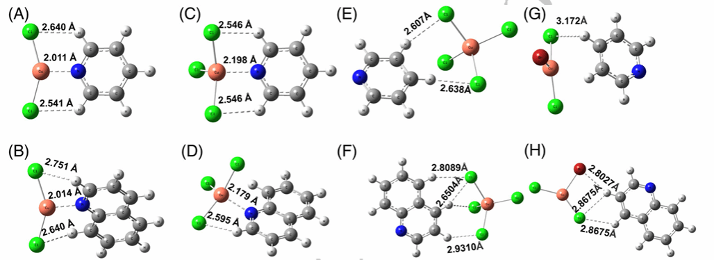
燃油中存在的有机氮化合物(ONCs)会对环境和石油加工产生各种有害影响。溶剂萃取技术自20世纪60年代起成为关键分离手段,其核心在于溶剂的选择,其决定因素为待分离ONCs的理化特性,包括分子间作用力类型等。由于特异性的Lewis酸碱作用,金属基离子液体作为溶剂在萃取脱除ONCs方面展现出独特优势,但是对于萃取过程活性物种辨认仍存在不明晰的瓶颈问题。
该工作成功制备了一系列铜基离子液体[Bmim]Cl/CuCl2-X,通过改变阴阳离子比例调控阴离子构型并优化其性能。实验表明,当阴阳离子比为1:1时([Bmim]Cl/CuCl2-1),其展现出卓越的萃取脱氮(EDN)性能,结合拉曼光谱与理论计算发现,铜的未占据轨道以及[CuCl3]-中的氯离子与ONCs中的氮原子之间形成了有效的配位,这种Lewis酸碱相互作用对于实现深度EDN至关重要。该工作不仅提出了一种高效的铜基离子液体用于从燃油中深度去除ONCs,而且还为理解和调控EDN过程中的基本相互作用提供了深入认识。
该研究成果得到了国家重点研发计划、国家自然科学基金、江苏省自然科学基金优秀青年基金、中国博士后基金面上项目等项目的资助。(化学化工学院)
文章链接:https://doi.org/10.1002/aic.18739